什么是非球面透镜,有哪些优势?

2024-05-17 派大莘

什么是非球面透镜,有哪些优势?


非球面透镜是一种折射面为非球面的曲面的透镜,通常可分成简单曲面(如抛物面)和复合曲面两类。与球面透镜相比,面透镜表面是回转对称的球面表面,即从透镜的中心到边缘具有恒定的曲率非球面透镜表面为回转对称的不是球面的表面,即符合特定表达式的回转对称的且表面是光滑连续的表面。


 滤光片

(图源网络,侵删)


非球面透镜具有更佳的曲率半径,可以维持良好的像差修正,以获得所需的性能。这种透镜可以消除球面畸变,通过优化曲面形状有效减少或消除边缘处的畸变,使图像边缘的物体变形或扭曲得到更好的矫正。

 

其次,非球面透镜可以提高光束的聚焦能力,根据需要定制曲面形状以将光线聚焦到更小的斑点上。这使得非球面透镜在激光聚焦、光通信等领域中非常有用。此外,非球面透镜还可以提供更平坦的光场,即使在离轴角度较大的情况下也能获得良好的成像质量。这使得非球面透镜在照明系统、投影仪等领域中有广泛的应用。

 非球面透镜在手机镜头和数码相机中的应用

(图源网络,侵删)


非球面透镜的另一个重要特点是其可以实现多焦点功能,通过调整曲面形状将不同波长的光线聚焦到不同的焦点上。这对于一些需要同时处理多个波长的应用,如光谱成像和光谱测量等是非常有用的。

 

在光学设计上,非球面透镜的曲率半径随着中心轴而变化,用以改进光学品质,减少光学元件,降低设计成本。通过调整曲面常数和非球面系数,非球面透镜可以最大限度地消除球差,实现更小的光学系统,并提高系统的稳定性。

 

光学系统中采用的非球面有三大类:第一类是轴对称非球面,如回转圆锥曲面、回转高次曲面;第二类是具有两个对称面的非球面,如柱面、复曲面;第三类是没有对称性的自由曲面。非球面透镜的表达式可以有多种形式,通常用于描述其非球面的形状。以下是一些常见的非球面透镜表达式:

 

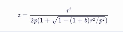
圆锥曲面表达式:

这是最常用的非球面表达式之一,它基于圆锥曲面并迭加一系列的高次多项式。表达式形式如下:

圆锥曲面表达式

其中,z是垂直于光轴的坐标,r 是到光轴的径向距离,c 是顶点曲率(c=1/R,其中 R 是顶点曲率半径),k 是圆锥系数,A2i 是第 2i 次非球面系数。

 

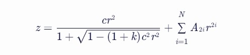
2. 二次曲面表达式:

二次曲面表达式

另一种常见的非球面表达式是基于二次曲面,它可以具有离心率 e 和顶点曲率 p。表达式形式如下:

其中,b = e^2是离心率 e 的平方。

 

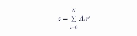
3. 多项式表达式:

可以使用多项式来直接描述非球面的形状。例如,一个简单的多项式表达式可以是:

多项式表达式

其中,Ai 是各项系数。



4. Zernike多项式:

在某些高级应用中,可能会使用Zernike多项式来描述非球面形状。Zernike多项式在光学设计和测试中常用于表示和评估波前畸变。


非球面透镜的加工制造方法包括精密玻璃成型、金刚石车削和注塑成型等。精密玻璃成型是将玻璃材料加热至高温并压入非球面模具中,然后逐渐冷却至室温以形成透镜。金刚石车削则使用单点金刚石刀具对透镜进行加工,以获得高精度的表面光洁度和形状精度。注塑成型则是将熔融塑料注入非球面模具中以生产塑料非球面透镜。

 (上)非球面透镜激光准直示意(下)将激光耦合到光纤中的应用

(图源网络,侵删)


非球面透镜的优势

非球面透镜相较于球面透镜具有多个显著的优点,这些优点使其在多个领域得到广泛应用。以下是非球面透镜的主要优点:

1.成像质量更高:非球面透镜能够根据光线入射的位置和角度进行对焦,从而提高成像的清晰度和分辨率。而球面透镜在边缘部分和离轴区域容易产生像差,导致图像模糊或失真。

2.消除色差:非球面透镜通过优化透镜的曲率和厚度分布,能够降低或消除色差。球面透镜由于球面形状的限制,难以消除色差,而非球面透镜则能更好地实现光的各色成分在焦点上的聚焦。

3.尺寸更小、重量更轻:在实现相同功能时,非球面透镜可以采用更薄更轻量的设计,使光学系统更加紧凑和便携。

4.广阔的折射率调节范围:非球面透镜具有更广阔的折射率调节范围,可以用来纠正眼睛的屈光不正问题,如近视、远视等。

5.更好的像差修正:非球面透镜具有更佳的曲率半径,可以维持良好的像差修正,以获得所需的性能。这使得非球面透镜在摄影镜头中能够校正众多的“像差”,提高成像质量。

6.宽广视野和平坦光场:非球面透镜通过优化曲面形状,能够在离轴角度较大的情况下仍然保持良好的成像质量,提供更为宽广的视野和平坦的光场。这在照明系统、投影仪等应用中尤为重要。

7.多焦点功能:非球面透镜通过调整曲面形状,实现了多焦点功能,即能够将不同波长的光线聚焦到不同的焦点上。这使得非球面透镜在应对不同波长的光线时具有更高的灵活性。

8.设计和制造成本降低:由于非球面透镜能够改进光学品质并减少光学元件,因此在设计和制造过程中可以降低成本。

 


标签: 非球面透镜
EMC易倍
    1. 网站地图