什么是非球面系数?它都有哪些分阶?
在相机镜头、显微镜甚至手机摄像头中,非球面镜片(Aspherical Lens)因其优异的像差校正能力被广泛应用,而赋予非球面镜片这种能力的核心“密码”,正是非球面系数。这些看似抽象的数字,实则决定了镜片表面每一处曲率的微小变化。

一、什么是非球面系数?
我们都知道,传统球面透镜表面是一个均匀弯曲的球面,但光线通过时会产生球差、彗差等像差问题,导致成像模糊或变形。非球面透镜的曲面尤其非球面的曲率设计,使得它能够很好优化球差、彗差等像差问题,曲率随位置变化,能更精准地控制光线路径。
为了系统性描述非球面这种复杂曲面,科学家在基础球面形状上叠加一系列高阶修正项,这些修正项的系数就是“非球面系数”,而非球面系数则通过不同阶数的组合实现微调镜片表面,实现消除像差,提升成像质量。
二、非球面系数的分阶方式
非球面系数按多项式阶数分类,常见的分阶方式如下:
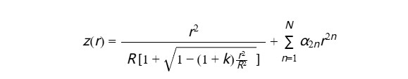
偶次非球面多项式(Even Asphere)
最常用的表达式为:

基曲部分:第一项为球面基础形状,R为基曲半径,K 为圆锥常数(描述抛物面、双曲面等类型)
非球面修正项:为非球面系数,对应 r2n 的阶数(如 2阶、4阶、6阶等)。

低阶项(如 ):校正低阶像差(如离焦)。
高阶项(如 ):校正球差、场曲等复杂像差。
更高阶项(如 ):用于精密系统的精细调整,但加工难度显著增加。
Zernike多项式
另一种分阶方式基于Zernike多项式,其各项对应不同的像差模式(如第4阶为离焦,第5-6阶为像散等)。但非球面系数通常更直接关联偶次多项式模型。

(图源知乎饭后时光)
三、分阶的意义:从普通眼镜到太空望远镜
非球面系数的分阶直接决定了镜片的性能上限:
1. 低阶修正(4~6阶)
应用场景:普通相机镜头、眼镜片。
特点:成本低,可大幅减少球差和场曲,满足日常需求。
2. 中高阶修正(8~12阶)
应用场景:高端显微物镜、天文望远镜。
特点:通过密集的高阶项组合,几乎消除所有单色像差,但需依赖超精密加工技术(如金刚石车削)。
3. 极限高阶(14阶以上)
应用场景:极紫外光刻机、太空光学系统。
特点:追求纳米级精度,但代价高昂,一片镜片的加工可能需要数月。

四、设计与制造的博弈
非球面系数并非越多越好,分阶背后是光学工程师的权衡艺术:
自由度 vs 成本:高阶系数增加设计灵活性,但每增加一阶,加工误差风险指数级上升。
像差校正 vs 系统稳定性:过度依赖高阶修正可能导致系统对温度、装配误差极度敏感。
以手机镜头为例,通常采用4~8阶非球面系数,在性能、体积和成本间找到平衡;而哈勃太空望远镜的镜片则动用超过10阶系数,确保在极端环境下的成像清晰度。
非球面系数看似是枯燥的数字,实则是现代光学的“基因代码”。从4阶到16阶,每一次分阶的突破都推动着成像技术的革新——无论是让手机摄像头更轻薄,还是让人类看清百亿光年外的星系。未来,随着加工技术的进步(如3D打印光学元件),更高阶的非球面系数或将解锁更多颠覆性应用,继续改写光学的极限。
文章部分图片源自网络分享,仅供参考,侵删---